https://www.kaggle.com/code/emilyjiminroh/netflix-dataset-eda-visualization-collabo-ver
# This Python 3 environment comes with many helpful analytics libraries installed
# It is defined by the kaggle/python Docker image: https://github.com/kaggle/docker-python
# For example, here's several helpful packages to load
import numpy as np # linear algebra
import pandas as pd # data processing, CSV file I/O (e.g. pd.read_csv)
# Input data files are available in the read-only "../input/" directory
# For example, running this (by clicking run or pressing Shift+Enter) will list all files under the input directory
import os
for dirname, _, filenames in os.walk('/kaggle/input'):
for filename in filenames:
print(os.path.join(dirname, filename))
# You can write up to 20GB to the current directory (/kaggle/working/) that gets preserved as output when you create a version using "Save & Run All"
# You can also write temporary files to /kaggle/temp/, but they won't be saved outside of the current session
/kaggle/input/netflix-icon-word-cloud/732082.png
/kaggle/input/netflix-data/netflix_titles.csv
1. Import Library
In [2]:
import pandas as pd
import numpy as np
from sklearn.preprocessing import StandardScaler
from sklearn.cluster import KMeans, AffinityPropagation
import matplotlib.pyplot as plt
import seaborn as sns
%matplotlib inline
import warnings
warnings.filterwarnings("ignore")
import plotly as py
import plotly.graph_objs as go
import os
py.offline.init_notebook_mode(connected = True)
import datetime as dt
import missingno as msno
plt.rcParams['figure.dpi'] = 140
import matplotlib.lines as lines
from sklearn.preprocessing import MultiLabelBinarizer
import matplotlib.colors
from wordcloud import WordCloud
import random
from PIL import Image
import matplotlib
2. EDA
In [3]:
df = pd.read_csv('../input/netflix-data/netflix_titles.csv')
df.head(3)
Out[3]:
show_idtypetitledirectorcastcountrydate_addedrelease_yearratingdurationlisted_indescription012
| s1 | Movie | Dick Johnson Is Dead | Kirsten Johnson | NaN | United States | September 25, 2021 | 2020 | PG-13 | 90 min | Documentaries | As her father nears the end of his life, filmm... |
| s2 | TV Show | Blood & Water | NaN | Ama Qamata, Khosi Ngema, Gail Mabalane, Thaban... | South Africa | September 24, 2021 | 2021 | TV-MA | 2 Seasons | International TV Shows, TV Dramas, TV Mysteries | After crossing paths at a party, a Cape Town t... |
| s3 | TV Show | Ganglands | Julien Leclercq | Sami Bouajila, Tracy Gotoas, Samuel Jouy, Nabi... | NaN | September 24, 2021 | 2021 | TV-MA | 1 Season | Crime TV Shows, International TV Shows, TV Act... | To protect his family from a powerful drug lor... |
In [4]:
for i in df.columns:
null_rate = df[i].isna().sum() / len(df) * 100
if null_rate > 0 :
print("{} null rate: {}%".format(i,round(null_rate,2)))
director null rate: 29.91%
cast null rate: 9.37%
country null rate: 9.44%
date_added null rate: 0.11%
rating null rate: 0.05%
duration null rate: 0.03%
1) Dealing with the missing data
- replace blank countries with the mode (most common) country
- The director's value is maintained because the box office rate may vary depending on the director.
- The cast's value is maintained because the box office rate may vary depending on the cast.
In [5]:
# Replacments
df['country'] = df['country'].fillna(df['country'].mode()[0])
df['cast'].replace(np.nan, 'No Data',inplace = True)
df['director'].replace(np.nan, 'No Data',inplace = True)
# Drops
df.dropna(inplace=True)
# Drop Duplicates
df.drop_duplicates(inplace= True)
In [6]:
df.isnull().sum()
Out[6]:
show_id 0
type 0
title 0
director 0
cast 0
country 0
date_added 0
release_year 0
rating 0
duration 0
listed_in 0
description 0
dtype: int64
In [7]:
df.info()
<class 'pandas.core.frame.DataFrame'>
Int64Index: 8790 entries, 0 to 8806
Data columns (total 12 columns):
# Column Non-Null Count Dtype
--- ------ -------------- -----
0 show_id 8790 non-null object
1 type 8790 non-null object
2 title 8790 non-null object
3 director 8790 non-null object
4 cast 8790 non-null object
5 country 8790 non-null object
6 date_added 8790 non-null object
7 release_year 8790 non-null int64
8 rating 8790 non-null object
9 duration 8790 non-null object
10 listed_in 8790 non-null object
11 description 8790 non-null object
dtypes: int64(1), object(11)
memory usage: 892.7+ KB
2) Dealing with Date Value
In [8]:
df["date_added"] = pd.to_datetime(df['date_added'])
df['month_added']=df['date_added'].dt.month
df['month_name_added']=df['date_added'].dt.month_name()
df['year_added'] = df['date_added'].dt.year
df.head(3)
Out[8]:
show_idtypetitledirectorcastcountrydate_addedrelease_yearratingdurationlisted_indescriptionmonth_addedmonth_name_addedyear_added012
| s1 | Movie | Dick Johnson Is Dead | Kirsten Johnson | No Data | United States | 2021-09-25 | 2020 | PG-13 | 90 min | Documentaries | As her father nears the end of his life, filmm... | 9 | September | 2021 |
| s2 | TV Show | Blood & Water | No Data | Ama Qamata, Khosi Ngema, Gail Mabalane, Thaban... | South Africa | 2021-09-24 | 2021 | TV-MA | 2 Seasons | International TV Shows, TV Dramas, TV Mysteries | After crossing paths at a party, a Cape Town t... | 9 | September | 2021 |
| s3 | TV Show | Ganglands | Julien Leclercq | Sami Bouajila, Tracy Gotoas, Samuel Jouy, Nabi... | United States | 2021-09-24 | 2021 | TV-MA | 1 Season | Crime TV Shows, International TV Shows, TV Act... | To protect his family from a powerful drug lor... | 9 | September | 2021 |
3) Feature Engineering
In [9]:
df['count'] = 1
df['first_country'] = df['country'].apply(lambda x: x.split(",")[0])
df['first_country'].head()
# Rating age
ratings_ages = {
'TV-PG': 'Older Kids',
'TV-MA': 'Adults',
'TV-Y7-FV': 'Older Kids',
'TV-Y7': 'Older Kids',
'TV-14': 'Teens',
'R': 'Adults',
'TV-Y': 'Kids',
'NR': 'Adults',
'PG-13': 'Teens',
'TV-G': 'Kids',
'PG': 'Older Kids',
'G': 'Kids',
'UR': 'Adults',
'NC-17': 'Adults'
}
df['target_ages'] = df['rating'].replace(ratings_ages)
df['target_ages'].unique()
# Genre
df['genre'] = df['listed_in'].apply(lambda x : x.replace(' ,',',').replace(', ',',').split(','))
# Reducing name length
df['first_country'].replace('United States', 'USA', inplace=True)
df['first_country'].replace('United Kingdom', 'UK',inplace=True)
df['first_country'].replace('South Korea', 'S. Korea',inplace=True)
data = df.groupby('first_country')['count'].sum().sort_values(ascending=False)[:10]
3. Visualization
1) Neflix colours Palette
- Using a consistent color palette is a great way to give your work credibility. It looks professional, and keeps the reader engaged.
In [10]:
# Palette
sns.palplot(['#221f1f', '#b20710', '#e50914','#f5f5f1'])
plt.title("Netflix brand palette ",loc='left',fontfamily='serif',fontsize=15,y=1.2)
plt.show()

2) Content
- Let's find out which content makes up more, Movie or TV show
In [11]:
x=df.groupby(['type'])['type'].count()
y=len(df)
r=((x/y)).round(2)
mf_ratio = pd.DataFrame(r).T
fig, ax = plt.subplots(1,1,figsize=(6.5, 2.5))
ax.barh(mf_ratio.index, mf_ratio['Movie'],
color='#b20710', alpha=0.9, label='Male')
ax.barh(mf_ratio.index, mf_ratio['TV Show'], left=mf_ratio['Movie'],
color='#221f1f', alpha=0.9, label='Female')
ax.set_xlim(0, 1)
ax.set_xticks([])
ax.set_yticks([])
# movie percentage
for i in mf_ratio.index:
ax.annotate(f"{int(mf_ratio['Movie'][i]*100)}%",
xy=(mf_ratio['Movie'][i]/2, i),
va = 'center', ha='center',fontsize=40, fontweight='light', fontfamily='serif',
color='white')
ax.annotate("Movie",
xy=(mf_ratio['Movie'][i]/2, -0.25),
va = 'center', ha='center',fontsize=15, fontweight='light', fontfamily='serif',
color='white')
for i in mf_ratio.index:
ax.annotate(f"{int(mf_ratio['TV Show'][i]*100)}%",
xy=(mf_ratio['Movie'][i]+mf_ratio['TV Show'][i]/2, i),
va = 'center', ha='center',fontsize=40, fontweight='light', fontfamily='serif',
color='white')
ax.annotate("TV Show",
xy=(mf_ratio['Movie'][i]+mf_ratio['TV Show'][i]/2, -0.25),
va = 'center', ha='center',fontsize=15, fontweight='light', fontfamily='serif',
color='white')
# Title & Subtitle
fig.text(0.125,1.03,'Movie & TV Show distribution', fontfamily='serif',fontsize=15, fontweight='bold')
fig.text(0.125,0.92,'We see vastly more movies than TV shows on Netflix.',fontfamily='serif',fontsize=12)
for s in ['top', 'left', 'right', 'bottom']:
ax.spines[s].set_visible(False)
# Removing legend due to labelled plot
ax.legend().set_visible(False)
plt.show()

3) By Country
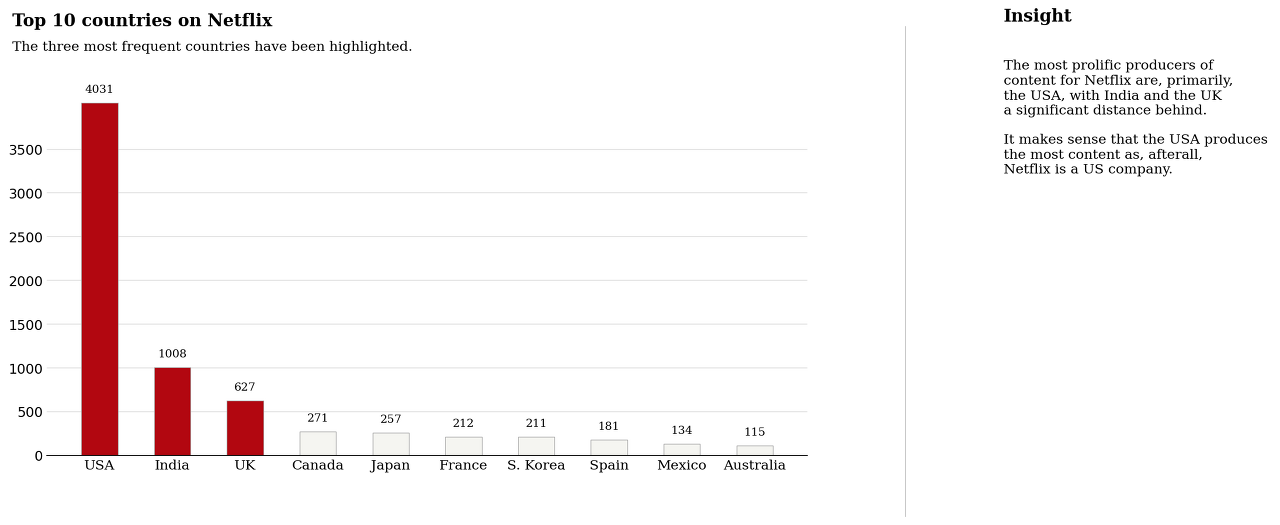
a) Let's look at the 10 countries that produced the most content
In [12]:
color_map = ['#f5f5f1' for _ in range(10)]
color_map[0] = color_map[1] = color_map[2] = '#b20710' # color highlight
fig, ax = plt.subplots(1,1, figsize=(12, 6))
ax.bar(data.index, data, width=0.5,
edgecolor='darkgray',
linewidth=0.6,color=color_map)
for i in data.index:
ax.annotate(f"{data[i]}",
xy=(i, data[i] + 150), #i like to change this to roughly 5% of the highest cat
va = 'center', ha='center',fontweight='light', fontfamily='serif')
for s in ['top', 'left', 'right']:
ax.spines[s].set_visible(False)
ax.set_xticklabels(data.index, fontfamily='serif', rotation=0)
fig.text(0.09, 1, 'Top 10 countries on Netflix', fontsize=15, fontweight='bold', fontfamily='serif')
fig.text(0.09, 0.95, 'The three most frequent countries have been highlighted.', fontsize=12, fontweight='light', fontfamily='serif')
fig.text(1.1, 1.01, 'Insight', fontsize=15, fontweight='bold', fontfamily='serif')
fig.text(1.1, 0.67, '''
The most prolific producers of
content for Netflix are, primarily,
the USA, with India and the UK
a significant distance behind.
It makes sense that the USA produces
the most content as, afterall,
Netflix is a US company.
'''
, fontsize=12, fontweight='light', fontfamily='serif')
ax.grid(axis='y', linestyle='-', alpha=0.4)
grid_y_ticks = np.arange(0, 4000, 500) # y ticks, min, max, then step
ax.set_yticks(grid_y_ticks)
ax.set_axisbelow(True)
plt.axhline(y = 0, color = 'black', linewidth = 1.3, alpha = .7)
ax.tick_params(axis='both', which='major', labelsize=12)
import matplotlib.lines as lines
l1 = lines.Line2D([1, 1], [0, 1], transform=fig.transFigure, figure=fig,color='black',lw=0.2)
fig.lines.extend([l1])
ax.tick_params(axis=u'both', which=u'both',length=0)
plt.show()

b) Let's look at the proportion of Movie and TV shows among the contents of the above 10 countries
In [13]:
country_order = df['first_country'].value_counts()[:11].index
data_q2q3 = df[['type', 'first_country']].groupby('first_country')['type'].value_counts().unstack().loc[country_order]
data_q2q3['sum'] = data_q2q3.sum(axis=1)
data_q2q3_ratio = (data_q2q3.T / data_q2q3['sum']).T[['Movie', 'TV Show']].sort_values(by='Movie',ascending=False)[::-1]
fig, ax = plt.subplots(1,1,figsize=(15, 8),)
ax.barh(data_q2q3_ratio.index, data_q2q3_ratio['Movie'],
color='#b20710', alpha=0.8, label='Movie')
ax.barh(data_q2q3_ratio.index, data_q2q3_ratio['TV Show'], left=data_q2q3_ratio['Movie'],
color='#221f1f', alpha=0.8, label='TV Show')
ax.set_xlim(0, 1)
ax.set_xticks([])
ax.set_yticklabels(data_q2q3_ratio.index, fontfamily='serif', fontsize=11)
# male percentage
for i in data_q2q3_ratio.index:
ax.annotate(f"{data_q2q3_ratio['Movie'][i]*100:.3}%",
xy=(data_q2q3_ratio['Movie'][i]/2, i),
va = 'center', ha='center',fontsize=12, fontweight='light', fontfamily='serif',
color='white')
for i in data_q2q3_ratio.index:
ax.annotate(f"{data_q2q3_ratio['TV Show'][i]*100:.3}%",
xy=(data_q2q3_ratio['Movie'][i]+data_q2q3_ratio['TV Show'][i]/2, i),
va = 'center', ha='center',fontsize=12, fontweight='light', fontfamily='serif',
color='white')
fig.text(0.13, 0.93, 'Top 10 countries Movie & TV Show split', fontsize=15, fontweight='bold', fontfamily='serif')
fig.text(0.131, 0.89, 'Percent Stacked Bar Chart', fontsize=12,fontfamily='serif')
for s in ['top', 'left', 'right', 'bottom']:
ax.spines[s].set_visible(False)
fig.text(0.75,0.9,"Movie", fontweight="bold", fontfamily='serif', fontsize=15, color='#b20710')
fig.text(0.81,0.9,"|", fontweight="bold", fontfamily='serif', fontsize=15, color='black')
fig.text(0.82,0.9,"TV Show", fontweight="bold", fontfamily='serif', fontsize=15, color='#221f1f')
fig.text(1.1, 0.93, 'Insight', fontsize=15, fontweight='bold', fontfamily='serif')
fig.text(1.1, 0.44, '''
Interestingly, Netflix in India
is made up nearly entirely of Movies.
Bollywood is big business, and perhaps
the main focus of this industry is Movies
and not TV Shows.
South Korean Netflix on the other hand is
almost entirely TV Shows.
The underlying resons for the difference
in content must be due to market research
conducted by Netflix.
'''
, fontsize=12, fontweight='light', fontfamily='serif')
import matplotlib.lines as lines
l1 = lines.Line2D([1, 1], [0, 1], transform=fig.transFigure, figure=fig,color='black',lw=0.2)
fig.lines.extend([l1])
ax.tick_params(axis='both', which='major', labelsize=12)
ax.tick_params(axis=u'both', which=u'both',length=0)
plt.show()

4) Ratings
Let's briefly check out how ratings are distributed
In [14]:
order = pd.DataFrame(df.groupby('rating')['count'].sum().sort_values(ascending=False).reset_index())
rating_order = list(order['rating'])
mf = df.groupby('type')['rating'].value_counts().unstack().sort_index().fillna(0).astype(int)[rating_order]
movie = mf.loc['Movie']
tv = - mf.loc['TV Show']
In [15]:
fig, ax = plt.subplots(1,1, figsize=(12, 6))
ax.bar(movie.index, movie, width=0.5, color='#b20710', alpha=0.8, label='Movie')
ax.bar(tv.index, tv, width=0.5, color='#221f1f', alpha=0.8, label='TV Show')
# Annotations
for i in tv.index:
ax.annotate(f"{-tv[i]}",
xy=(i, tv[i] - 60),
va = 'center', ha='center',fontweight='light', fontfamily='serif',
color='#4a4a4a')
for i in movie.index:
ax.annotate(f"{movie[i]}",
xy=(i, movie[i] + 60),
va = 'center', ha='center',fontweight='light', fontfamily='serif',
color='#4a4a4a')
for s in ['top', 'left', 'right', 'bottom']:
ax.spines[s].set_visible(False)
ax.set_xticklabels(mf.columns, fontfamily='serif')
ax.set_yticks([])
ax.legend().set_visible(False)
fig.text(0.16, 1, 'Rating distribution by Film & TV Show', fontsize=15, fontweight='bold', fontfamily='serif')
fig.text(0.16, 0.89,
'''We observe that some ratings are only applicable to Movies.
The most common for both Movies & TV Shows are TV-MA and TV-14.
'''
, fontsize=12, fontweight='light', fontfamily='serif')
fig.text(0.755,0.924,"Movie", fontweight="bold", fontfamily='serif', fontsize=15, color='#b20710')
fig.text(0.815,0.924,"|", fontweight="bold", fontfamily='serif', fontsize=15, color='black')
fig.text(0.825,0.924,"TV Show", fontweight="bold", fontfamily='serif', fontsize=15, color='#221f1f')
plt.show()

5) Movies & TV shows added over time
Let's look at the amount of content added by year
In [16]:
fig, ax = plt.subplots(1, 1, figsize=(12, 6))
color = ["#b20710", "#221f1f"]
for i, mtv in enumerate(df['type'].value_counts().index):
mtv_rel = df[df['type']==mtv]['year_added'].value_counts().sort_index()
ax.plot(mtv_rel.index, mtv_rel, color=color[i], label=mtv)
ax.fill_between(mtv_rel.index, 0, mtv_rel, color=color[i], alpha=0.9)
ax.yaxis.tick_right()
ax.axhline(y = 0, color = 'black', linewidth = 1.3, alpha = .7)
for s in ['top', 'right','bottom','left']:
ax.spines[s].set_visible(False)
ax.grid(False)
ax.set_xlim(2008,2020)
plt.xticks(np.arange(2008, 2021, 1))
fig.text(0.13, 0.85, 'Movies & TV Shows added over time', fontsize=15, fontweight='bold', fontfamily='serif')
fig.text(0.13, 0.59,
'''We see a slow start for Netflix over several years.
Things begin to pick up in 2015 and then there is a
rapid increase from 2016.
It looks like content additions have slowed down in 2020,
likely due to the COVID-19 pandemic.
'''
, fontsize=12, fontweight='light', fontfamily='serif')
fig.text(0.13,0.2,"Movie", fontweight="bold", fontfamily='serif', fontsize=15, color='#b20710')
fig.text(0.19,0.2,"|", fontweight="bold", fontfamily='serif', fontsize=15, color='black')
fig.text(0.2,0.2,"TV Show", fontweight="bold", fontfamily='serif', fontsize=15, color='#221f1f')
ax.tick_params(axis=u'both', which=u'both',length=0)
plt.show()

6) Month-by-Month
Let's take a monthly look at the amount of content added during the year
In [17]:
month_order = ['January',
'February',
'March',
'April',
'May',
'June',
'July',
'August',
'September',
'October',
'November',
'December']
df['month_name_added'] = pd.Categorical(df['month_name_added'], categories=month_order, ordered=True)
In [18]:
data_sub = df.groupby('type')['month_name_added'].value_counts().unstack().fillna(0).loc[['TV Show','Movie']].cumsum(axis=0).T
fig, ax = plt.subplots(1, 1, figsize=(12, 6))
color = ["#b20710", "#221f1f"]
for i, mtv in enumerate(df['type'].value_counts().index):
mtv_rel = data_sub[mtv]
ax.fill_between(mtv_rel.index, 0, mtv_rel, color=color[i], label=mtv,alpha=0.9)
ax.yaxis.tick_right()
ax.axhline(y = 0, color = 'black', linewidth = 1.3, alpha = .4)
for s in ['top', 'right','bottom','left']:
ax.spines[s].set_visible(False)
ax.grid(False)
ax.set_xticklabels(data_sub.index, fontfamily='serif', rotation=0)
ax.margins(x=0) # remove white spaces next to margins
fig.text(0.13, 0.95, 'Content added by month [Cumulative Total]', fontsize=15, fontweight='bold', fontfamily='serif')
fig.text(0.13, 0.905,
"The end & beginnings of each year seem to be Netflix's preference for adding content."
, fontsize=12, fontweight='light', fontfamily='serif')
fig.text(0.13,0.855,"Movie", fontweight="bold", fontfamily='serif', fontsize=15, color='#b20710')
fig.text(0.19,0.855,"|", fontweight="bold", fontfamily='serif', fontsize=15, color='black')
fig.text(0.2,0.855,"TV Show", fontweight="bold", fontfamily='serif', fontsize=15, color='#221f1f')
ax.tick_params(axis=u'both', which=u'both',length=0)
plt.show()

7) Movie Genres
In [19]:
cmap = matplotlib.colors.LinearSegmentedColormap.from_list("", ['#221f1f', '#b20710','#f5f5f1'])
def genre_heatmap(df, title):
df['genre'] = df['listed_in'].apply(lambda x : x.replace(' ,',',').replace(', ',',').split(','))
Types = []
for i in df['genre']: Types += i
Types = set(Types)
print("There are {} types in the Netflix {} Dataset".format(len(Types),title))
test = df['genre']
mlb = MultiLabelBinarizer()
res = pd.DataFrame(mlb.fit_transform(test), columns=mlb.classes_, index=test.index)
corr = res.corr()
mask = np.zeros_like(corr, dtype=np.bool)
mask[np.triu_indices_from(mask)] = True
fig, ax = plt.subplots(figsize=(10, 7))
fig.text(.54,.88,'Genre correlation', fontfamily='serif',fontweight='bold',fontsize=15)
fig.text(.75,.665,
'''
It is interesting that Independant Movies
tend to be Dramas.
Another observation is that
Internatinal Movies are rarely
in the Children's genre.
''', fontfamily='serif',fontsize=12,ha='right')
pl = sns.heatmap(corr, mask=mask, cmap=cmap, vmax=.3, vmin=-.3, center=0, square=True, linewidths=2.5)
plt.show()
In [20]:
df_tv = df[df["type"] == "TV Show"]
df_movies = df[df["type"] == "Movie"]
genre_heatmap(df_movies, 'Movie')
plt.show()
There are 20 types in the Netflix Movie Dataset

In [21]:
data = df.groupby('first_country')[['first_country','count']].sum().sort_values(by='count',ascending=False).reset_index()[:10]
data = data['first_country']
df_heatmap = df.loc[df['first_country'].isin(data)]
df_heatmap = pd.crosstab(df_heatmap['first_country'],df_heatmap['target_ages'],normalize = "index").T
8) Target Ages
Does Netflix uniformly target certain demographics? Or does this vary by country?
In [22]:
fig, ax = plt.subplots(1, 1, figsize=(12, 12))
country_order2 = ['USA', 'India', 'UK', 'Canada', 'Japan', 'France', 'S. Korea', 'Spain',
'Mexico', 'Australia']
age_order = ['Kids','Older Kids','Teens','Adults']
sns.heatmap(df_heatmap.loc[age_order,country_order2],cmap=cmap,square=True, linewidth=2.5,cbar=False,
annot=True,fmt='1.0%',vmax=.6,vmin=0.05,ax=ax,annot_kws={"fontsize":12})
ax.spines['top'].set_visible(True)
fig.text(.99, .725, 'Target ages proportion of total content by country', fontweight='bold', fontfamily='serif', fontsize=15,ha='right')
fig.text(0.99, 0.7, 'Here we see interesting differences between countries. Most shows in India are targeted to teens, for instance.',ha='right', fontsize=12,fontfamily='serif')
ax.set_yticklabels(ax.get_yticklabels(), fontfamily='serif', rotation = 0, fontsize=11)
ax.set_xticklabels(ax.get_xticklabels(), fontfamily='serif', rotation=90, fontsize=11)
ax.set_ylabel('')
ax.set_xlabel('')
ax.tick_params(axis=u'both', which=u'both',length=0)
plt.tight_layout()
plt.show()

9) WordCloud of Netflix Title
Let's take a look at the words that are often used in content titles through WordCloud
In [23]:
cmap = matplotlib.colors.LinearSegmentedColormap.from_list("", ['#221f1f', '#b20710'])
text = str(list(df['title'])).replace(',', '').replace('[', '').replace("'", '').replace(']', '').replace('.', '')
mask = np.array(Image.open('../input/netflix-icon-word-cloud/732082.png'))
wordcloud = WordCloud(background_color = 'white', width = 500, height = 200,colormap=cmap, max_words = 150, mask = mask).generate(text)
plt.figure( figsize=(5,5))
plt.imshow(wordcloud, interpolation = 'bilinear')
plt.axis('off')
plt.tight_layout(pad=0)
plt.show()

'AI & Data Analysis > Kaggle Notebook' 카테고리의 다른 글
| [NLP] SMS Spam Collection Dataset (0) | 2022.06.07 |
|---|---|
| [CNN] Traffic Signs Classification with Explanation (0) | 2022.05.27 |
| [EDA] Home-credit-default-risk Dataset (0) | 2022.05.27 |
| [EDA & Visualization] San_Francisco Data (1) | 2022.03.31 |
| [CNN] Fashion-Mnist-Data (0) | 2022.03.31 |